Виявлення епізодів апное та гіпопное сну за даними ЕКГ та ЕЕГ сигналів методами машинного навчання
Основний зміст сторінки статті
Анотація
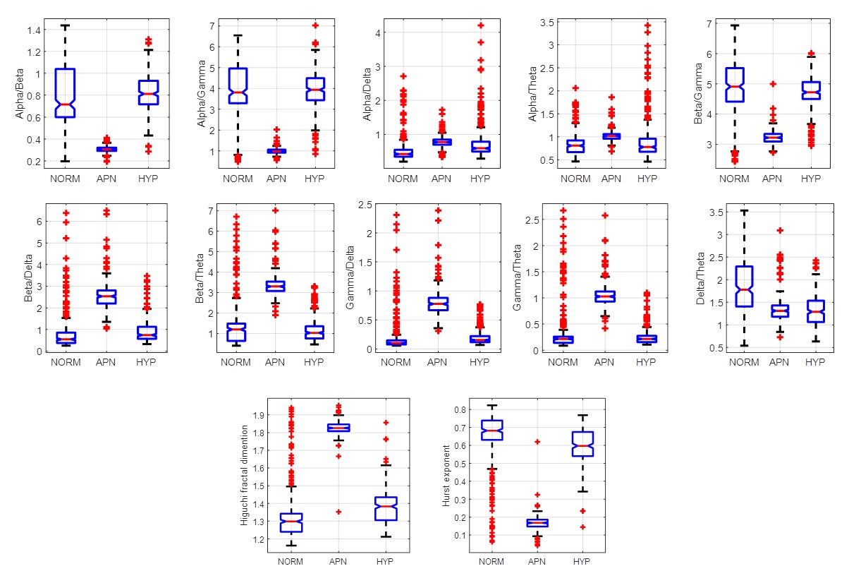
Стаття присвячена застосуванню методів машинного навчання для комп’ютеризованого виявлення епізодів апное сну на основі аналізу одноканальних сигналів електрокардіограми (ЕКГ) та електроенцефалограми (ЕЕГ). Для дослідження можливостей машинного навчання для виявлення апное на основі аналізу ЕКГ та ЕЕГ було використано відкриті бази даних Apnea-ECG та MIT-BIH polysomnographic database з ресурсу PhysioNet, які містять анотації до кожної хвилини записів, що вказують на наявність або відсутність апное/гіпопное сну в поточний момент часу. Метою даної роботи є визначення та порівняння інформативних ознак виявлення епізодів апное сну за показниками варіабельності серцевого ритму та електричної активності мозку, а також вибір методів машинного навчання, що забезпечують найвищу точність класифікації. Розглянуто показники кардіоритмограм у часовій та частотній областях, спектрально-часові та вейвлет-характеристики, а також параметри ЕЕГ сигналів на основі відношення енергії ЕЕГ ритмів, показника Херста, фрактальної розмірності Хігучі та ентропії вибірки для ЕЕГ сигналів. Використовуючи різні набори ознак, було визначено точність класифікації для моделей на основі дерев рішень, дискримінантного аналізу, методу опорних векторів, методу k-найближчих сусідів та ансамблевого навчання. На основі цього запропоновані набори ознак та класифікатори, що забезпечують найвищу точність розпізнавання епізодів апное сну за даними ЕКГ та ЕЕГ сигналів.
Блок інформації про статтю

Ця робота ліцензується відповідно до Creative Commons Attribution 4.0 International License.
Автори, які публікуються у цьому журналі, погоджуються з наступними умовами:
- Автори залишають за собою право на авторство своєї роботи та передають журналу право першої публікації цієї роботи на умовах ліцензії Creative Commons Attribution License, котра дозволяє іншим особам вільно розповсюджувати опубліковану роботу з обов'язковим посиланням на авторів оригінальної роботи та першу публікацію роботи у цьому журналі.
- Автори мають право укладати самостійні додаткові угоди щодо неексклюзивного розповсюдження роботи у тому вигляді, в якому вона була опублікована цим журналом (наприклад, розміщувати роботу в електронному сховищі установи або публікувати у складі монографії), за умови збереження посилання на першу публікацію роботи у цьому журналі.
- Політика журналу дозволяє і заохочує розміщення авторами в мережі Інтернет (наприклад, у сховищах установ або на особистих веб-сайтах) рукопису роботи, як до подання цього рукопису до редакції, так і під час його редакційного опрацювання, оскільки це сприяє виникненню продуктивної наукової дискусії та позитивно позначається на оперативності та динаміці цитування опублікованої роботи (див. The Effect of Open Access).
Посилання
S. F. Quan and B. J. Gersh, “Cardiovascular Consequences of Sleep-Disordered Breathing: Past, Present and Future: Report of a Workshop From the National Center on Sleep Disorders Research and the National Heart, Lung, and Blood Institute”, Circulation, vol. 109, no. 8, pp. 951–957, Mar. 2004. DOI: https://doi.org/10.1161/01.CIR.0000118216.84358.22
W. R. Ruehland, P. D. Rochford, F. J. O’Donoghue, R. J. Pierce, P. Singh, and A. T. Thornton, “The New AASM Criteria for Scoring Hypopneas: Impact on the Apnea Hypopnea Index”, Sleep, vol. 32, no. 2, pp. 150–157, Feb. 2009. DOI: https://doi.org/10.1093/sleep/32.2.150
X. Li, A. Al-Ani, and S. H. Ling, “Feature Selection for the Detection of Sleep Apnea using Multi-Bio Signals from Overnight Polysomnography”, in 2018 40th Annual International Conference of the IEEE Engineering in Medicine and Biology Society (EMBC), Honolulu, HI, 2018, pp. 1444–1447. DOI: https://doi.org/10.1109/EMBC.2018.8512585
T. Penzel, M. Glos, C. Schobel, M. Sebert, B. Diecker, and I. Fietze, “Revised recommendations for computer-based sleep recording and analysis”, in 2009 Annual International Conference of the IEEE Engineering in Medicine and Biology Society, Minneapolis, MN, 2009, pp. 7099–7101. DOI: https://doi.org/10.1109/IEMBS.2009.5332903
D. Álvarez-Estévez and V. Moret-Bonillo, “Identification of Electroencephalographic Arousals in Multichannel Sleep Recordings”, IEEE Transactions on Biomedical Engineering, vol. 58, no. 1, pp. 54–63, Jan. 2011. DOI: https://doi.org/10.1109/TBME.2010.2075930
F. Liu, X. Zhou, Z. Wang, T. Wang, H. Ni, and J. Yang, “Identifying Obstructive Sleep Apnea by Exploiting Fine-Grained BCG Features Based on Event Phase Segmentation”, in 2016 IEEE 16th International Conference on Bioinformatics and Bioengineering (BIBE), Taichung, Taiwan, 2016, pp. 293–300. DOI: https://doi.org/10.1109/BIBE.2016.45
A. R. Hassan, “A comparative study of various classifiers for automated sleep apnea screening based on single-lead electrocardiogram”, in 2015 International Conference on Electrical & Electronic Engineering (ICEEE), Rajshahi, Bangladesh, 2015, pp. 45–48. DOI: https://doi.org/10.1109/CEEE.2015.7428288
K. Zhu, “Overnight heart rate variability in patients with obstructive sleep apnoea: A time and frequency domain study”, Clinical and Experimental Pharmacology and Physiology, vol. 39, no. 11, pp. 901–908, Oct. 2012. DOI: https://doi.org/10.1111/1440-1681.12012
J. Foussier, P. Fonseca, X. Long, B. Misgeld, and S. Leonhardt, “Combining HRV features for automatic arousal detection”, in Computing in Cardiology, pp. 1003–1006, 2013. URL: https://ieeexplore.ieee.org/abstract/document/6713549
M. J. Lado, X. A. Vila, L. Rodríguez-Liñares, A. J. Méndez, D. N. Olivieri, and P. Félix, “Detecting Sleep Apnea by Heart Rate Variability Analysis: Assessing the Validity of Databases and Algorithms”, Journal of Medical Systems, vol. 35, no. 4, pp. 473–481, Oct. 2009. DOI: https://doi.org/10.1007/s10916-009-9383-5
J. Gubbi, A. Khandoker, and M. Palaniswami, “Classification of sleep apnea types using wavelet packet analysis of short-term ECG signals”, Journal of Clinical Monitoring and Computing, vol. 26, no. 1, pp. 1–11, Dec. 2011. DOI: https://doi.org/10.1007/s10877-011-9323-z
N. Sadr and P. de Chazal, “A fast approximation method for principal component analysis applied to ECG derived respiration for OSA detection”, in 2016 38th Annual International Conference of the IEEE Engineering in Medicine and Biology Society (EMBC), Orlando, FL, USA, 2016, pp. 6198–6201. DOI: https://doi.org/10.1109/EMBC.2016.7592144
C. Varon, D. Testelmans, B. Buyse, J. A. K. Suykens, and S. Van Huffel, “Sleep apnea classification using least-squares support vector machines on single lead ECG”, in 2013 35th Annual International Conference of the IEEE Engineering in Medicine and Biology Society (EMBC), Osaka, 2013, pp. 5029–5032. DOI: https://doi.org/10.1109/EMBC.2013.6610678
K. Ivanko, N. Ivanushkina, and A. Rykhalska, “Identifying episodes of sleep apnea in ECG by machine learning methods”, in 2020 IEEE 40th International Conference on Electronics and Nanotechnology (ELNANO), Kyiv, Ukraine, 2020, pp. 588–593. DOI: https://doi.org/10.1109/ELNANO50318.2020.9088749.
G. Zhou, Y. Pan, J. Yang, X. Zhang, X. Guo, and Y. Luo, “Sleep Electroencephalographic Response to Respiratory Events in Patients With Moderate Sleep Apnea–Hypopnea Syndrome”, Frontiers in Neuroscience, vol. 14, Apr. 2020. DOI: https://doi.org/10.3389/fnins.2020.00310
S. Saha, A. Bhattacharjee, and S. A. Fattah, “Automatic detection of sleep apnea events based on inter‐band energy ratio obtained from multi‐band EEG signal”, Healthcare Technology Letters, vol. 6, no. 3, pp. 82–86, Jun. 2019. DOI: https://doi.org/10.1049/htl.2018.5101.
X. Zhao, “Classification of sleep apnea based on EEG sub-band signal characteristics”, Scientific Reports, vol. 11, no. 1, Mar. 2021. DOI: https://doi.org/10.1038/s41598-021-85138-0
G. Zhou, Y. Pan, J. Yang, X. Zhang, X. Guo, and Y. Luo, “Sleep Electroencephalographic Response to Respiratory Events in Patients With Moderate Sleep Apnea–Hypopnea Syndrome”, Frontiers in Neuroscience, vol. 14, Apr. 2020. DOI: https://doi.org/10.3389/fnins.2020.00310
R. Jayaraj and J. Mohan, “Classification of Sleep Apnea Based on Sub-Band Decomposition of EEG Signals”, Diagnostics, vol. 11, no. 9, p. 1571, Aug. 2021. DOI: https://doi.org/10.3390/diagnostics11091571
A. L. Goldberger, “PhysioBank, PhysioToolkit, and PhysioNet: Components of a New Research Resource for Complex Physiologic Signals”, Circulation, vol. 101, no. 23, Jun. 2000. DOI: https://doi.org/10.1161/01.CIR.101.23.e215
T. Penzel, G. Moody, R. Mark, A. Goldberger, and J. Peter, “The apnea-ECG database”, in Computers in Cardiology 2000. Vol.27 (Cat. 00CH37163), Cambridge, MA, USA, 2000, pp. 255–258. DOI: https://doi.org/10.1109/CIC.2000.898505
MIT-BIH Polysomnographic Database. – URL: https://physionet.org/content/slpdb/1.0.0/.
Y. Ichimaru and G. Moody, “Development of the polysomnographic database on CD‐ROM”, Psychiatry and Clinical Neurosciences, vol. 53, no. 2, pp. 175–177, Apr. 1999. DOI: https://doi.org/10.1046/j.1440-1819.1999.00527.x
Task Force of the European Society of Cardiology the North American Society of Pacing Electrophysiology, “Heart Rate Variability: Standards of Measurement, Physiological Interpretation, and Clinical Use”, Circulation, vol. 93, no. 5, pp. 1043–1065, Mar. 1996. DOI: https://doi.org/10.1161/01.CIR.93.5.1043
N. L. Chamberlin, “Brain circuitry mediating arousal from obstructive sleep apnea”, Current Opinion in Neurobiology, vol. 23, no. 5, pp. 774–779, Oct. 2013. DOI: https://doi.org/10.1016/j.conb.2013.06.001
S. Lahmiri, “Generalized Hurst exponent estimates differentiate EEG signals of healthy and epileptic patients”, Physica A: Statistical Mechanics and its Applications, vol. 490, pp. 378–385, Jan. 2018. DOI: https://doi.org/10.1016/j.physa.2017.08.084.
S. Kesić and S. Z. Spasić, “Application of Higuchi’s fractal dimension from basic to clinical neurophysiology: A review”, Computer Methods and Programs in Biomedicine, vol. 133, pp. 55–70, Sep. 2016. DOI: https://doi.org/10.1016/j.cmpb.2016.05.014
R. Bhavsar, N. Helian, Y. Sun, N. Davey, T. Steffert, and D. Mayor, “Efficient Methods for Calculating Sample Entropy in Time Series Data Analysis”, Procedia Computer Science, vol. 145, pp. 97–104, Jan. 2018. DOI: https://doi.org/10.1016/j.procs.2018.11.016



