Використання інформації про умови експерименту для прогнозування властивостей метаматеріалів
Основний зміст сторінки статті
Анотація
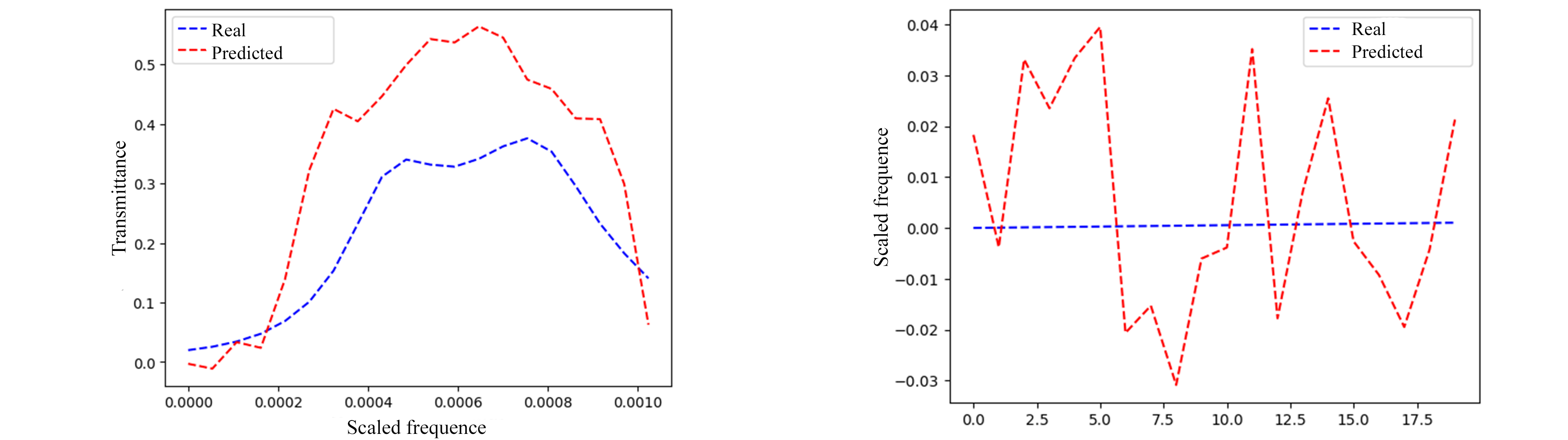
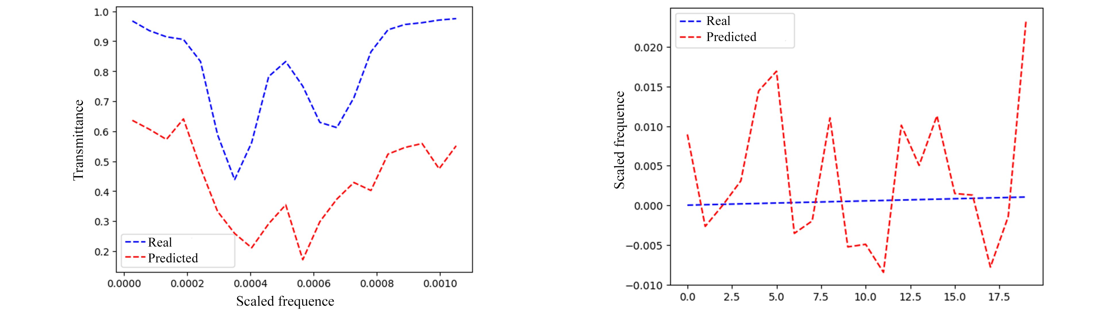
На даний момент існує проблема збільшення кількості елементів для навчання нейронних мереж, які повинні прогнозувати властивості метаматеріалів. У даній роботі запропоновано метод збільшення обсягу даних для навчання нейронних мереж з використанням можливості використання інформації про експериментальні умови вимірювання властивостей метаматеріалів. Показано, що метод гнучкий і ефективний. Наведено результати прогнозування коефіцієнта пропускання метаматеріалу для різних кутів падаючого випромінювання та типу поляризації. Використовуючи представлену в роботі архітектуру, була отримана висока швидкість навчання і генерації нових даних з точністю, яка не перевищує 12% для експериментів в одному частотному діапазоні і не перевищує 31%, якщо для навчання використовуються всі експерименти. Представлено архітектуру нейронної мережі та метод, за допомогою якого можна легко змінювати кількість та типи умов експерименту. Для прогнозування коефіцієнта передачі на основі структури, фізичного складу і умов експерименту використовувалося дослідження, де були присутні всі дані. Було проведено ряд чисельних експериментів - з використанням дослідів в діапазоні частот від 0,2 до 0,6 ТГц; тільки експерименти в діапазоні частот від 137 до 375 ТГц і все разом. Кожна характеристика (залежність коефіцієнта пропускання від частоти) представлялася у вигляді 40 чисел, де перші двадцять чисел - масштабоване значення частоти, а останні двадцять - коефіцієнт пропускання. Масштабування частот відбувалося для всіх характеристик в однакових межах (від 0,2 до 375 ТГц). Як буде видно далі, це сильно вказується при прогнозуванні частоти. Для кожного випадку було сформовано дві характеристики. Розподіл між навчальним і тестовим наборами відбувався у пропорції 80/20% від загальної кількості. Було встановлено, що найкраща точність спостерігається для випадку, коли для навчання використовуються характеристики в діапазоні від 137 до 375 ТГц. Найнижча точність спостерігається при використанні комбінованих даних. Задана модифікована вдосконалена архітектура нейронної мережі, за допомогою якої можна прикріплювати інформацію про умови експерименту до даних про метаструктуру. Проаналізовано, що з використанням експериментальних даних, на які впливають різні фізичні впливи, необхідна достатня кількість цих даних для того, щоб якість прогнозування та генерації нових характеристик була достатньо точною для практичного застосування. Зазначено, що результати чисельних експериментів дозволяють стверджувати, що такий підхід до кодування інформації про метаструктуру (топологічну структуру, фізичний склад компонентів, цільові характеристики) та умови експерименту є робочим і є перспективи його практичного використання в прикладних задачах.
Блок інформації про статтю

Ця робота ліцензується відповідно до Creative Commons Attribution 4.0 International License.
Автори, які публікуються у цьому журналі, погоджуються з наступними умовами:
- Автори залишають за собою право на авторство своєї роботи та передають журналу право першої публікації цієї роботи на умовах ліцензії Creative Commons Attribution License, котра дозволяє іншим особам вільно розповсюджувати опубліковану роботу з обов'язковим посиланням на авторів оригінальної роботи та першу публікацію роботи у цьому журналі.
- Автори мають право укладати самостійні додаткові угоди щодо неексклюзивного розповсюдження роботи у тому вигляді, в якому вона була опублікована цим журналом (наприклад, розміщувати роботу в електронному сховищі установи або публікувати у складі монографії), за умови збереження посилання на першу публікацію роботи у цьому журналі.
- Політика журналу дозволяє і заохочує розміщення авторами в мережі Інтернет (наприклад, у сховищах установ або на особистих веб-сайтах) рукопису роботи, як до подання цього рукопису до редакції, так і під час його редакційного опрацювання, оскільки це сприяє виникненню продуктивної наукової дискусії та позитивно позначається на оперативності та динаміці цитування опублікованої роботи (див. The Effect of Open Access).
Посилання
H. K. D. H. Bhadeshia, “Neural Networks in Materials Science.,” ISIJ International, vol. 39, no. 10, pp. 966–979, 1999, DOI: https://doi.org/10.2355/isijinternational.39.966
P. Reiser et al., “Graph neural networks for materials science and chemistry,” Commun Mater, vol. 3, no. 1, p. 93, Nov. 2022, DOI: https://doi.org/10.1038/s43246-022-00315-6
W. Sha and K. L. Edwards, “The use of artificial neural networks in materials science based research,” Mater Des, vol. 28, no. 6, pp. 1747–1752, Jan. 2007, DOI: https://doi.org/10.1016/j.matdes.2007.02.009
J. Parsons, C. P. Burrows, J. R. Sambles, and W. L. Barnes, “A comparison of techniques used to simulate the scattering of electromagnetic radiation by metallic nanostructures,” J Mod Opt, vol. 57, no. 5, pp. 356–365, Mar. 2010, DOI: https://doi.org/10.1080/09500341003628702
M. Locarno and D. Brinks, “Analytical calculation of plasmonic resonances in metal nanoparticles: A simple guide,” Am J Phys, vol. 91, no. 7, p. 538, Jul. 2023, DOI: https://doi.org/10.1119/5.0094967
P. R. Wiecha et al., “‘pyGDM’ - new functionalities and major improvements to the python toolkit for nano-optics full-field simulations,” Comput Phys Commun, vol. 270, p. 108142, Jan. 2022, DOI: https://doi.org/10.1016/j.cpc.2021.108142
B. Guo, L. Deng, and H. Zhang, “Non-local generative machine learning-based inverse design for scattering properties,” Opt Express, vol. 31, no. 13, p. 20872, Jun. 2023, DOI: https://doi.org/10.1364/OE.492361
J. R. Capers, S. J. Boyes, A. P. Hibbins, and S. A. R. Horsley, “Designing the collective non-local responses of metasurfaces,” Commun Phys, vol. 4, no. 1, p. 209, Sep. 2021, DOI: https://doi.org/10.1038/s42005-021-00713-1
P. Naseri and S. V. Hum, “A Generative Machine Learning-Based Approach for Inverse Design of Multilayer Metasurfaces,” IEEE Trans Antennas Propag, vol. 69, no. 9, pp. 5725–5739, Sep. 2021, DOI: https://doi.org/10.1109/TAP.2021.3060142
C. Niu, M. Phaneuf, and P. Mojabi, “A Diffusion Model for Multi-Layered Metasurface Unit Cell Synthesis,” IEEE Open Journal of Antennas and Propagation, vol. 4, pp. 654–666, 2023, DOI: https://doi.org/10.1109/OJAP.2023.3292149
S. Wang et al., “Innovative design of metamaterial perfect absorbers via residual fully connected neural network modeling,” Opt Commun, vol. 545, p. 129732, Oct. 2023, DOI: https://doi.org/10.1016/j.optcom.2023.129732
C. Zhang, A. Ridard, M. Kibsey, and Y. F. Zhao, “Variant design generation and machine learning aided deformation prediction for auxetic metamaterials,” Mechanics of Materials, vol. 181, p. 104642, Jun. 2023, DOI: https://doi.org/10.1016/j.mechmat.2023.104642
P. Jain et al., “Multiband Metamaterial absorber with absorption prediction by assisted machine learning,” Mater Chem Phys, vol. 307, p. 128180, Oct. 2023, DOI: https://doi.org/10.1016/j.matchemphys.2023.128180
P. P. Meyer, C. Bonatti, T. Tancogne-Dejean, and D. Mohr, “Graph-based metamaterials: Deep learning of structure-property relations,” Mater Des, vol. 223, p. 111175, Nov. 2022, DOI: https://doi.org/10.1016/j.matdes.2022.111175
S. Telvari, M. Sayyafzadeh, J. Siavashi, and M. Sharifi, “Prediction of two-phase flow properties for digital sandstones using 3D convolutional neural networks,” Adv Water Resour, vol. 176, p. 104442, Jun. 2023, DOI: https://doi.org/10.1016/j.advwatres.2023.104442
A. P. Garland, B. C. White, B. H. Jared, M. Heiden, E. Donahue, and B. L. Boyce, “Deep Convolutional Neural Networks as a Rapid Screening Tool for Complex Additively Manufactured Structures,” Addit Manuf, vol. 35, p. 101217, Oct. 2020, DOI: https://doi.org/10.1016/j.addma.2020.101217
M. O. Zoziuk and O. I. Yurikov, “Convolutional Neural Network to Predict the Penetration Coefficient of Metamaterials Based on Their Structure and Composition,” Microsystems, Electronics and Acoustics, vol. 28, no. 1, Apr. 2023, DOI: https://doi.org/10.20535/2523-4455.mea.271444
F. Ding, Z. Wang, S. He, V. M. Shalaev, and A. V. Kildishev, “Broadband High-Efficiency Half-Wave Plate: A Supercell-Based Plasmonic Metasurface Approach,” ACS Nano, vol. 9, no. 4, pp. 4111–4119, Apr. 2015, DOI: https://doi.org/10.1021/acsnano.5b00218
C. Huang, “Efficient and broadband polarization conversion with the coupled metasurfaces,” Opt Express, vol. 23, no. 25, p. 32015, Dec. 2015, DOI: https://doi.org/10.1364/OE.23.032015
A. Shaltout, J. Liu, A. Kildishev, and V. Shalaev, “Photonic spin Hall effect in gap–plasmon metasurfaces for on-chip chiroptical spectroscopy,” Optica, vol. 2, no. 10, p. 860, Oct. 2015, DOI: https://doi.org/10.1364/OPTICA.2.000860
N. K. Grady et al., “Terahertz Metamaterials for Linear Polarization Conversion and Anomalous Refraction,” Science (1979), vol. 340, no. 6138, pp. 1304–1307, Jun. 2013, DOI: https://doi.org/10.1126/science.1235399
L. Cong, Y. K. Srivastava, and R. Singh, “Inter and intra-metamolecular interaction enabled broadband high-efficiency polarization control in metasurfaces,” Appl Phys Lett, vol. 108, no. 1, Jan. 2016, DOI: https://doi.org/10.1063/1.4939564
V. Nair and G. E. Hinton, “Rectified Linear Units Improve Restricted Boltzmann Machines,” in Proceedings of the 27th International Conference on International Conference on Machine Learning, 2010, pp. 807–814, DOI: https://doi.org/10.5555/3104322.3104425
“PyTorch documentation — PyTorch 2.0 documentation.” [Online]. Available: https://pytorch.org/docs/stable/index.html



